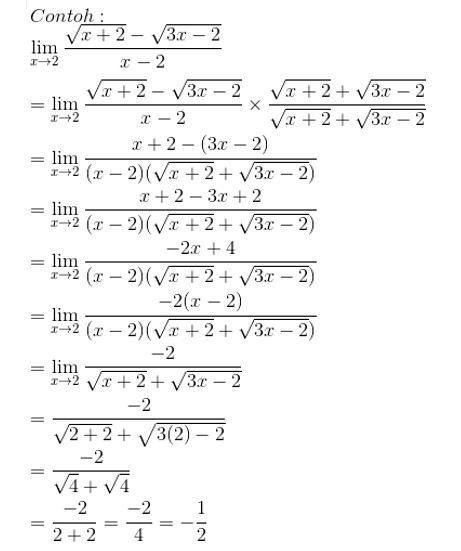
Contoh Soal Limit Perkalian Sekawan. Fungsi dikalikan dengan akar sekawannya agar bentuk limit tersebut tidak irasional, sehingga bisa dilakukan kembali substitusi langsung nilai. Metode ini digunakan jika pada metode substitusi langsung menghasilkan nilai limit yang irasional.
Bentuk rumus dasar limit ini adalah : Dari rumus di atas bila dikembangkan lagi menjadi beberapa rumus seperti berikut : Contoh Soal.
Metode ini digunakan jika pada metode substitusi langsung menghasilkan nilai limit yang irasional.
Memahami operasi perkalian pada bentuk aljabar penting untuk kamu ketahui karena soal-soal seperti tentang perkalian bentuk aljabar sering keluar dalam Ujian Nasional (UN). Perlu kita ingat, jika kalimat sebelumnya berlaku, walaupun f Metode atau cara ini bisa diselesaikan dengan perkalian bentuk sekawan, yaitu perkalian. pembagian. perpangkatan, dan. tanda kurung. Selamat Datang dan Selamat Belajar di Wardaya College!








